Detail

Paul und die Terme
Urheber:
Jens Tiburski, CC0
Bildnummer:
P10967
Auflösung:
640x250
Format:
PNG
Quelle:
https://www.schulportal-thueringen.de/pixiothek/detail?tspi=P10967
Kurzbeschreibung:
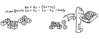
Das Bild gehört zur Serie "Paul". Es zeigt Paul beim Umformen von Termen. Das Bild ist unter CC0 lizenziert und kann somit frei verwendet werden.

Verwandte Bilder (Auswahl)

D_Sc​hrei​ben
(180x169)
Säen​ und Ernt​en
(320x304)
Stec​kbri​efe
(433x445)
Klar​inet​te
(373x424)
Drac​he
()
Fami​lie
(320x203)
höre​n
(997x787)
Klas​sen-​Post
(440x435)
D_Le​sen
(180x168)
Seiten:   <<   <   [1]  2  3  4  5  6  7  >  >>
( 1 bis 10 von 142 Einträgen)

Verwandte Medien (Auswahl)

Es wurden aktuell keine verwandten Medien gefunden.

Download